Grécke písmo, známe aj ako grécka abeceda alebo latinsky alfabeta, je najstarším dodnes používaným písmom v Európe. Po novogrécky sa nazýva ελληνικό αλφάβητο (elliniko alfavito).
História a pôvod
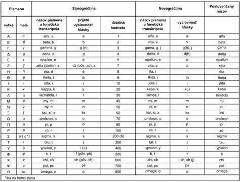
Pôvod gréckeho písma z fenického je nespochybniteľný. Túto skutočnosť potvrdzujú nielen jazykovedci, ale aj viacerí antickí autori. Podľa jednej z legiend písmo Grékom priniesol fenický moreplavec Kadmos. Najstarší známy grécky nápis pochádza z 9. storočia pred Kr. Pri prevzatí fenickej abecedy Gréci využili fenické znaky pre spoluhlásky, ktoré v gréčtine neexistovali, na označenie samohlások. V 5. storočí pred Kr. grécka abeceda obsahovala 24 znakov, z toho 17 pre spoluhlásky a 7 pre samohlásky.
Vývoj písma
Spočiatku sa grécke písmo písalo sprava doľava. Neskôr sa rozšíril spôsob písania bustrofedonom (striedavo sprava doľava a zľava doprava). Približne od 7. až 5. storočia pred Kr. sa písalo už výlučne zľava doprava. Najstaršia forma gréckeho písma sa nazýva archaické grécke písmo, ku ktorému patria najstaršie nápisy z ostrovov Théros, Mélos a Kréta. Z neho sa vyvinuli východogrécke a západogrécke písma. Z východogréckych písiem sa neskôr vyvinulo klasické grécke písmo, ktoré sa začalo všeobecne používať v 4. storočí pred Kr. Jeho základom bol iónsky variant, používaný v maloázijských gréckych kolóniách, najmä v Miléte. Z klasického gréckeho písma postupne vzniklo byzantské grécke písmo, z ktorého sa vyvinulo nielen novogrécke písmo, ale aj slovanské písma.

Používanie gréckej abecedy
Grécka abeceda sa používa takmer výlučne na zápis gréčtiny. Grécke písmená sa však uplatňujú aj v iných jazykoch, predovšetkým v tých, ktoré sa používajú v Grécku, ako sú arumunčina, arvanitčina a turečtina Karamanlidov. Množstvo artefaktov s nápismi v gréckom písme je obrovské - našli sa na minciach, vázach, kamenných doskách, pergamenoch a na stenách chrámov v celom stredomorskom regióne. Zachovali sa aj mnohé rukopisy diel významných filozofov a vedcov ako Platón, Homér, Sofokles, Euklides či Archimedes.
Grécke písmená sa často stretávame aj v oblasti vedy a techniky, najmä v matematike, geometrii a fyzike. V kódovaní elektronického typografického systému Unicode sú znaky gréckej abecedy umiestnené v rozsahu U+0370-U+03FF.

Novogrécka abeceda a výslovnosť
Novogrécka abeceda je v podstate rovnaká ako starogrécka, avšak výslovnosť niektorých písmen sa zmenila. Napríklad písmeno β (beta) sa v starogréčtine vyslovovalo ako [b], zatiaľ čo dnes sa vyslovuje ako [v]. Písmeno η (éta) sa kedysi vyslovovalo ako [e], dnes sa číta ako [i].
Dvojhlásky majú tiež špecifickú výslovnosť:
- ει (ei) sa vyslovuje ako [i] (napr. είναι - einai, je)
- αι sa číta ako [e] (napr. και - kai, a, aj)
- ου (ou) sa vyslovuje ako [u] (napr. ουρανός - ouranos, nebo)
- οι (oi) sa taktiež číta ako [i] (napr. οικογένεια - oikojenía, rodina)
Tieto pravidlá neplatia, ak je nad písmenom ι (i) dvojbodka (ϊ).
Ďalšie zaujímavosti vo výslovnosti:
- Písmeno γ (g, gama) sa pred samohláskami υ, ι, αι, ει, οι, ε, η vyslovuje ako [j] (napr. γυναίκα - gynéka, žena, sa číta ako jynéka).
- Písmeno υ (y) sa na začiatku slova číta ako [y] alebo [i] (napr. ίππος - yppos, kôň). Keď stojí v slove, ale nie na jeho začiatku, vyslovuje sa ako [f] (napr. κλέφτης - kleuthis, zlodej, sa číta ako klefthis).
- Dve γ za sebou sa čítajú ako [ng] (napr. αγγούρι - aggúri, uhorka, sa číta ako angúri).
- Po γ pred písmenom κ sa číta ako slovenské [g].
- Samostatné γ sa číta ako hrdelné [g], podobné gh.
- Po γ pred písmenom χ sa vyslovuje ako [nch] (napr. έγχρωμος - égchromos, farebný, sa číta ako énchromos).
- Spojenie μπ (mp) sa číta ako [b] (napr. μπουκάλι - mpukáli, fľaša, sa číta ako bukáli).
- Spojenie ντ (nt) sa číta ako slovenské [d] (napr. ντομάτες - ntomátes, paradajky, sa číta ako domádes).
- Spojenie τζ (tz) sa číta ako [dž] (napr. τζιτζίκας - tzitzíkas, cikáda, sa číta ako dzidzíkas).
- Spojenie τσ (ts) sa vyslovuje ako [ts] (napr. τσαμπέλα - tsampéla).

Prepis názvov miest
Prepis gréckych mien do latinky nemusí byť jednoznačný. Najmä názvy miest môžu byť v rôznych príručkách skomolené, často po prechode cez angličtinu. Ide najmä o mená obsahujúce písmená ako Χ, Ψ, Η, Υ, Θ a Β. Napríklad grécke písmeno 'χ' sa môže prepisovať ako 'ch', ale aj ako 'x', čo môže spôsobovať zmätok. Na cestných ukazovateľoch býva názov mesta uvedený v gréckej abecede aj v latinke, avšak grécky hovoriaci chápu latinku inak, čo môže viesť k nedorozumeniam pri orientácii.
Grécka abeceda ☆ Prvý krok k učeniu sa gréčtiny
Zadanie gréckych písmen na počítači
Napísanie gréckych písmen na počítači môže byť výzvou, keďže na štandardnej klávesnici chýbajú zodpovedajúce klávesy. Existuje však niekoľko spôsobov, ako ich zadať:
- Mapa znakov (Character Map): V operačnom systéme Windows môžete použiť aplikáciu "Mapa znakov". Po jej otvorení vyhľadajte požadované grécke písmeno, kliknite na "Vybrať", potom na "Kopírovať" a nakoniec ho vložte na požadované miesto pomocou klávesových skratiek Ctrl + V.
- ASCII kód: Grécka abeceda je súčasťou ASCII tabuľky. Na jej zápis použite ľavý kláves Alt (alebo Alt Gr) v kombinácii s číslami z numerickej klávesnice. Napríklad pre malú alfu (α) stlačte Alt + 945, pre veľkú alfu (Α) Alt + 913.
- Bežná klávesnica: Grécke písmená je možné zadať aj pomocou bežnej klávesnice, čo je užitočné pre tých, ktorí nemajú numerickú klávesnicu. Stačí vedieť, ktoré písmeno latinky zodpovedá gréckemu písmenu. Napríklad, písmeno 'a' na klávesnici môžete zmeniť na grécku alfu stlačením klávesov "Shift + Ctrl + Q".
Zaujímavosti
V značkách EŠPZ na gréckych autách sa používajú iba tie písmená, ktoré sú spoločné pre latinku aj grécku abecedu. Je dôležité poznamenať, že nie všetko, čo vyzerá ako grécke písmeno, ním aj je. Občas sa stretnete s azbukou, čo môže súvisieť s nárastom ruských turistov, ktorí si želajú reklamy v ich jazyku.

Základné grécke frázy
Pre turistov je užitočné poznať pár základných gréckych fráz. Grékov potešíte, ak sa pokúsite hovoriť ich jazykom, aj keď len pár slovami. Angličtina na Kréte vo všeobecnosti postačí, najmä v turistických oblastiach.
- Ναι (ne) - áno
- Όχι (óchi) - nie
- Ευχαριστώ (efcharsto) - ďakujem
- Παρακαλώ (parakalo) - prosím
- Αριστερά (aristera) - vľavo
- Δεξιά (déksia) - vpravo
- Φαρμακείο (farmakeío) - lekáreň
Pamätajte si, že u Grékov je výslovnosť "nie" a "áno" obrátene oproti slovenskému používaniu.